A focused, academic reference on quadrature for isoparametric finite elements — Gaussian quadrature, mapping, reduced/selective integration, and practical guidance for FEM implementations.
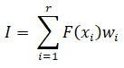
Numerical integration is a method in which approximate solution of definite integral is evaluated using numerical techniques.

In this method the polynomial function is evaluated at some known base points (sampling points) with weighting co-efficient.

There are a wide range of methods available for numerical integration. Most common methods are Newton Cotes and Gauss quadrature.
Gauss quadrature is widely used in finite element method since it produces the most accurate numerical approximations possible.
Gaussian quadrature is preferred in FEM because it evaluates polynomials exactly up to degree 2n − 1 using n integration points. This fits naturally with polynomial shape functions.
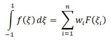
The basic assumption in Gauss numerical integration is that the polynomial function is evaluated in the interval -1 to +1 and the weight coefficients depend upon the number of base points known as gauss integration points.


w = weight coefficients , ξᵢ = basis points
The order of Gauss integration depends upon the number of gauss points selected. By increasing the number of gauss points, the accuracy of the solution increases but the cost of the solution also increases.
Hence in Gauss quadrature method we select n Gauss points and n weights such that the integration formula provides accurate solution for the polynomial function f(ξᵢ)

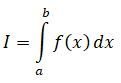
Multiple integration can be done by extending the one-dimensional integration formula.

In the finite element method, element-level quantities are expressed as integrals over element domains.
Numerical integration is a core component of the Finite Element Method (FEM), enabling the evaluation of element stiffness matrices, mass matrices, internal forces, strain energy, and residual vectors.
In finite element formulation, we encounter integrals which are to be integrated for each element individually. These integrals are evaluated numerically using Gauss quadrature formula.

where
Bi = strain-displacement matrix derived from shape functions
D = constitutive matrix
dV = differential volume
Finite elements are evaluated in a parent coordinate system
[-1,1] using an isoparametric mapping. The Jacobian of the
transformation determines how differential volume transforms between
physical and parent domains.
Gaussian quadrature on the master element is preferred because for a rule with n points it is
exact for polynomials up to degree 2n-1. Most FEM integrands are polynomials multiplied by
det J, so a small number of Gauss points typically suffices.

| Element Type | Shape Function Order | Recommended Quadrature Rule | Notes |
|---|---|---|---|
| Bar / Beam (2-node) | Linear | 1-point (stiffness), 2-point (mass) | Stiffness integrand is quadratic; mass requires higher order. |
| Tetrahedron (Tet4) | Linear | 1-point | Exact for linear strain fields. |
| Tetrahedron (Tet10) | Quadratic | 4-point or higher | Exactness requires higher-order symmetric rules. |
| Quadrilateral (Q4) | Bilinear | 2 × 2 Gauss | 1 × 1 = reduced integration (avoids shear locking). |
| Quadrilateral (Q8 / Q9) | Quadratic | 3 × 3 Gauss | Required for full polynomial accuracy. |
| Hexahedron (Hex8) | Trilinear | 2 × 2 × 2 | Standard for linear 3D solids. |
| Hexahedron (Hex20) | Quadratic | 3 × 3 × 3 | Ensures consistency for quadratic interpolation. |
| Shell (4-node) | Bilinear | 2 × 2 (membrane), 1 × 1 (shear) | Selective integration prevents shear locking. |
| Shell (8-node) | Quadratic | 3 × 3 (membrane), 2 × 2 (shear) | Higher-order surface integration needed. |
let’s consider a four node quadrilateral element


The 4-node quadrilateral element uses a bilinear displacement field:
u(x, y) = a₁ + a₂ x + a₃ y + a₄ x y
The real element is mapped from a parent square (ξ, η ∈ [-1,1]) using bilinear shape functions:
Nᵢ(ξ, η) = ¼ (1 + ξ ξᵢ)(1 + η ηᵢ)
Using these, the displacement vector inside the element becomes:
u = N q
From this, the strain field is computed with the strain–displacement matrix:
ε = B q
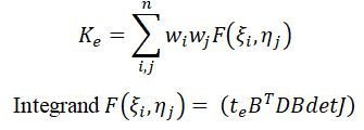
The element stiffness matrix is obtained by Gauss integration over the parent domain:
kₑ = tₑ ∫∫ (Bᵀ D B) det(J) dξ dη
The stars in the diagram represent the 2 × 2 Gauss points used for full integration in a bilinear quadrilateral element.
For numerically integrating the stiffness matrix, we transform the integral in to Gauss integration formula.

Now, using one-point, two-point and three-point Gauss integration rule we integrate the stiffness matrix integral.

The order of numerical integration plays a vital role in the accuracy of the solution in finite element analysis. Lower order integration causes the stiffness matrix rank deficient i.e. it will have more zero eigenvalues than the no.of physical rigid body modes. Such modes are termed as spurious zero energy modes.
Higher order integration will increase solution accuracy but will increase the computational cost which will have a significant impact on solution time for 3D analysis.
In a standard bilinear 4-node quadrilateral (Q4) element, the stiffness matrix is normally computed using 2×2 Gauss integration. Reduced integration 1x1 Gaus point rule instead uses only one Gauss point at the center of the parent element:
(ξ, η) = (0, 0)
Summary: Reduced integration is efficient and avoids locking, but requires hourglass control to maintain stability.
In finite element analysis, numerical integration is performed in the parent coordinate system (ξ, η), where Gauss points are defined. To compute integrals over the real (physical) element, a mapping is required. This mapping is provided by the Jacobian matrix.
J = [ ∂x/∂ξ ∂y/∂ξ ]
[ ∂x/∂η ∂y/∂η ]
The Jacobian determinant |J| indicates how the parent element \((\xi, \eta)\) is mapped to the real physical element \((x, y)\). Its value determines whether an element is valid, distorted, or inverted.
|J| > 0
This is the required condition at all Gauss points.
A positive Jacobian means:
|J| = 0
This means the element area collapses to a line or point.
Common causes:
|J| < 0
Indicates the element is inside-out due to incorrect node ordering
or excessive distortion.
| Condition | Jacobian Value | Interpretation | Valid? |
|---|---|---|---|
| Good Element | |J| > 0 and reasonably large | Healthy mapping, low distortion | ✔ Yes |
| Highly Distorted | |J| → 0⁺ | Poor mapping, inaccurate strains | ⚠ Risky |
| Degenerate | |J| = 0 | Collapsed element, singular stiffness | ✘ No |
| Inverted | |J| < 0 | Inside-out element | ✘ No |
Conclusion: A positive and well-behaved Jacobian determinant is essential for stable, accurate finite element analysis.

Limits of the Jacobian Determinant

Elements with unacceptable corner angles
This excersise is performed in SCIFESOL scilab solver package
Considering the rectangular element as shown in Fig. Test quadrilateral element , it is a rectangle of base 50 and height 25. The plate has unit thickness and isotropic material with E = 96 and ν = 1/3

Test quadrilateral element
Now we compute the stiffness matrix of the test element in SCIFESOL solver using the three integration schemes and calculate eigenvalues of the stiffness matrices to observe the effect of order of numerical integration.
In SCIFESOL we can select stiffness matrix and mass matrix integration rules using element properties dialog box. In the script file we can directly modify the global variables ITGRUL and ITGMRUL to specify integration rules for stiffness and mass matrix.

Element Properties dialog box
Mode Shapes 1, 2, 3 for 1x1 integration rule
Mode Shapes 4, 5, 6 for 1x1 integration rule
Mode Shapes 7 and 8 for 1x1 integration rule
It is observed that with one-point integration, the rank of the stiffness matrix is only 3 instead of 5 (8 degrees of freedom minus 3 rigid body modes). The element has 2 spurious zero energy modes which leads to ill-conditioning of the stiffness matrix.
Mode Shapes 1, 2, 3 for 2x2 integration rule
Mode Shapes 4, 5, 6 for 2x2 integration rule
Mode Shapes 7 and 8 for 2x2 integration rule
Using two-point integration, the stiffness matrix has correct rank of 5. In three-point integration, the eigenvalues obtained are same as two-point integration due to negligible difference in stiffness matrix for 4 node quadrilateral element.

Eigenvalues of test element
Integration order of the finite element matrices should be chosen with care so that good numerical accuracy is achieved.
Selecting too low integration order will give spurious zero energy modes and too high integration order will increase the computation time of the matrices, eventually leading to higher solution time.
note:Script file for above analysis is available in the SCIFESOL package.